近期,中国科学院合肥物质院固体所邹良剑研究员和南通大学刘大勇教授合作在拓扑磁振子领域取得新进展,揭示了二维 Kagome 铁磁体中由Dzyaloshinskii-Moriya 相互作用(DMI)和赝偶极相互作用(PDI)诱导的多重拓扑磁振子相,为磁振子器件和量子计算的研发提供了全新理论支撑平台。相关成果以“Multiple topological phases of magnons induced by Dzyaloshinskii-Moriya and pseudodipolar anisotropic exchange interactions in kagome ferromagnets”为题发表在Physical Review B (Phys. Rev. B, 2025, 112, 184431) 上。
磁振子作为自旋波的量子化载体,具有无焦耳热损耗、可在绝缘材料中高效传播的特性,是实现低能耗自旋信息传输的核心候选对象。而 Kagome 晶格材料因天然具备狄拉克点和平带结构,能孕育丰富的拓扑态,成为探索拓扑磁振子的理想体系。然而,二维 Kagome 铁磁体中往往共存多种磁相互作用,如何厘清各类相互作用对拓扑磁振子的调控机制,一直是该领域的关键挑战。
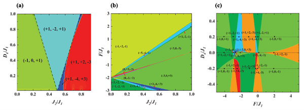
针对这一难题,研究团队构建了包含海森堡交换作用、DMI和PDI等多重相互作用理论模型,系统探究了二维 Kagome 铁磁体的拓扑磁振子行为。通过霍里斯坦 - 普里马科夫变换、傅里叶变换等手段,结合贝里曲率与陈数的精确计算,系统解析了拓扑磁振子的演化规律。研究发现,不同各向异性相互作用展现出截然不同的拓扑调控能力。DMI(源于反演对称性破缺)可诱导出陈数组合为(-1, 0, +1)、(+1, -2, +1)的拓扑相(图1.a);而 PDI(源于自旋轨道耦合与轨道淬灭)则能产生(-3, 0, +3)、(+3, -6, +3)等六种新型拓扑态(图1.b),其中高陈数(Cn>3)拓扑相的发现,为拓扑磁振子的高维调控提供了全新思路。DMI 与 PDI 的共存引发了复杂的竞争与协作效应,两种相互作用通过调控狄拉克点和平带结构,触发强烈的能带反转与能隙开合,最终形成了多样化的拓扑相变(图1.c)。值得注意的是,研究团队发现在特定拓扑相区域内,热霍尔电导和能斯特电导会随温度变化发生符号反转(图2)。这一现象源于磁相变附近热涨落导致的能隙和贝里曲率(陈数)变化,该发现为长期以来困扰学术界的相关实验谜题提供了合理的理论解释。
该研究的核心创新在于阐明了多重各向异性相互作用对拓扑磁振子的调控规律,所发现的高陈数拓扑相和温度可调的输运特性,为实现磁振子的定向传输和拓扑态调控提供了新途径。这些拓扑特性可在铱酸盐、钌酸盐等过渡金属化合物中实现,实验上已发现的 Kagome 伊辛铁磁体 TbV6Sn6和理论预测的 Kagome Kitaev 体系 Na4Ir3O8等材料均是潜在的实现平台。
博士生倪进宇为论文第一作者,邹良剑研究员与刘大勇教授为论文共同通讯作者,此项研究得到了国家自然科学基金的支持,数值计算依托中国科学院合肥物质院计算科学中心完成。
文章链接:https://journals.aps.org/prb/abstract/10.1103/gr5v-26np

图1.多重各向异性相互作用诱导的拓扑相图

图2. 热霍尔电导和能斯特电导随温度变化发生符号反转相图
