最近,中科院强磁场科学中心田明亮研究员课题组在拓扑半金属研究中取得新进展。研究人员通过SHMFF水冷磁体33T强磁场下的电输运量子振荡测量,给出了层状化合物Nb3SiTe6为拓扑半金属的实验证据,相关研究结果在线发表在美国物理学会期刊Physical Review B上。
“拓扑半金属”是不同于“拓扑绝缘体”的一类全新拓扑电子态,具备奇异的磁输运性质(如手性负磁阻、巨磁电阻),以及极高的载流子迁移率等,是目前量子材料领域研究的热点和前沿。根据能带的结构特点,拓扑半金属可以分为拓扑狄拉克半金属、外尔半金属和“节线”(Node-Line)半金属等。在拓扑节线半金属中,能带的交叉点在晶格动量空间形成连续的闭合曲线。在这种表面平带(flat band)中引入电子关联效应或超导配对,将有望实现分数拓扑态或高转变温度超导等新物态。
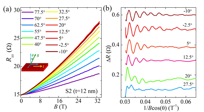
强磁场科学中心田明亮研究员课题组宁伟研究员、博士生安琳琳、张红伟等,利用水冷磁体33T稳态场对层状化合物Nb3SiTe6 在强磁场下的量子输运特性进行了研究。理论计算认为这种化合物可能是一种新的节线半金属。研究人员通过解理Nb3SiTe6单晶获得不同厚度的Nb3SiTe6纳米片,并对纳米片的磁电阻行为和霍尔电阻进行了仔细测量。研究表明,Nb3SiTe6纳米片的输运过程主要是空穴主导的,其迁移率随着纳米片变薄而减小。而磁电阻测量发现,Nb3SiTe6纳米片在较高磁场下表现出线性磁电阻,在磁场高达33T时依然没有饱和的迹象,同时在高场下(>20T)出现量子振荡行为。通过不同磁场角度下的量子振荡结果发现,Nb3SiTe6的费米面具有二维特征,且样品中的电子具有非平庸的贝里位相(Berry phase)。这些实验结果首次给出了Nb3SiTe6是拓扑保护的半金属材料的实验证据。
该研究成果以“Magnetoresistance and Shubnikov–de Haas oscillations in layered Nb3SiTe6 thin flakes”为题发表在美国物理评论杂志上 [Phys. Rev. B 97, 235113 (2018)]。该研究工作得到了国家重点研发计划项目、国家自然科学基金以及合肥大科学中心等项目的支持。
文章链接:https://link.aps.org/doi/10.1103/PhysRevB.97.235133。
图1. Nb3SiTe6纳米片在(a)变温过程中的电阻特性以及(b)不同温度下的磁阻行为。
图2. Nb3SiTe6纳米片在强磁场(~33 T)下的(a)非饱和线性磁电阻和(b)不同磁场角度下的量子振荡行为。

